
Heat-Equation-Simulation
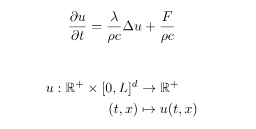
A C++ project that simulates heat diffusion in 1D (bar) and 2D (plate) implementing the finite difference method. The simulation uses SDL2 for real-time visualization with a heatmap display.
Browse projects

A C++ project that simulates heat diffusion in 1D (bar) and 2D (plate) implementing the finite difference method. The simulation uses SDL2 for real-time visualization with a heatmap display.

A machine learning project for predicting breast cancer patient vital status using clinical variables and high-dimensional mRNA gene expression data through regularized regression methods.

A data science and machine learning project for analyzing financial behavior and predicting credit default risk and credit scores using statistical inference, dimensionality reduction, clustering, and supervised learning models.

A C-based image processing program demonstrating low-level manipulation of grayscale and color images through custom-built modules and transformation algorithms.